


















公司网址:www.www.wagawa.com
厂家服务热线:0903-6682528
全国服务热线:400-966-8288
公司地址:新疆和田洛浦县杭桂路232号
肉苁蓉( Herba Cistanche)是列当科( Orobanchaeceae)肉苁蓉属( Cistanche)植物肉苁蓉干燥带鳞叶的肉质茎又名精笋、纵蓉、肉松蓉、地精、大芸是常用中药之一。本属植物全世界约有18个种我国约有4个种1变种分别为肉苁蓉(Cistanche deserticola Y.C.Ma)、盐生肉苁蓉[ C.salsa(C.A.Mey.) G.Beck ]、德赢vwin登录 [ C.tubulosa ( Schenk ) R.Wight]、白花盐肉苁蓉(C.salsa v ar.albif lora P.F.Tu et Z.C.Lou)及沙苁蓉(C.sinensis G.Beck)《中药大辞典》收载有3种:盐生肉苁蓉、肉苁蓉、迷肉苁蓉[ C.ambigua ( Bge.)B.Beck][1]。《中国药典》仅收载了肉苁蓉为药用肉苁蓉[2]。据调查由于正品资源紧缺不少地方使用的中药肉苁蓉是肉苁蓉属植物中并非《药典》收载的正品。屠鹏飞等对该属植物进行的资源调查表明国内所使用的肉苁蓉除了肉苁蓉和盐生肉苁蓉外还有德赢vwin登录 及一种新变种的白花盐肉苁蓉[3]。少数地区也使用沙苁蓉。同科植物草苁蓉[ Boschmikia rossica( Cham.Et Schlecht)Fedtsch.et Flerov]也具有类似补肾壮阳功效民间常作药用[4]。国外的研究表明草苁蓉具有显著的清除自由基的作用[5]。肉苁蓉中的主要成分是苯乙醇苷类其中所含苯乙醇苷类的多少及各单体的量与品种、产地有明显的关系。文献指出[6]德赢vwin登录 比肉苁蓉、盐生肉苁蓉所含的苯乙醇总苷的量要高。因此德赢vwin登录 作为药典收载肉苁蓉的正式品种或补充品种有其广阔的前景。
肉苁蓉主产于中亚、西亚、及中国的新疆、内蒙、甘肃、宁夏等沙漠地区具有补肾、益精、活血、通便之功效是一味补肾壮阳功能确凿的中药。有人统计在历代增力中药处方中出现率占第一位而在抗老防衰类方剂中仅次于人参居第二位[7]。近年来国内外对肉苁蓉的化学成分、药理作用及其中所含的抗衰老活性成分进行了广泛研究。结果表明[8]肉苁蓉在增强机体免疫力、提高机体耐力、防止四氯化碳肝损害、对神经系统和内分泌系统的调节作用等方面都显示了一定的活性。本文就肉苁蓉的主要化学成分予以综述。
1 苯乙醇苷类
现代研究表明肉苁蓉具有壮阳、抗衰老、提高免疫功能增强记忆力降血脂和通便等作用[910]有“沙漠人参”之美誉其主要活性成分是苯乙醇苷类[9]。据文献报道苯乙醇苷类具有抗不良刺激、增强学习记忆力和助阳等多方面功能[11]肉苁蓉含这类成分较多。日本小林弘美(HiromiKobayashi)等对我国内蒙产C.salsa 进行了系统研究先后从中分离得到苯乙醇苷类成分[12-15]:肉苁蓉苷A (CistanosideA)(1);肉苁蓉苷B (CistanosideB) (2);松果菊苷(Echinacoside)(3);肉苁蓉苷C(CistanosideC)(4);肉苁蓉苷D(CistanosideD)(5);类叶升麻苷(Acteoside)(6);2′-乙酰类叶升麻苷(2′-Acetyacteoside)(7);肉苁蓉苷E(CistanosideE)(8);肉苁蓉苷F(CistanosideF)(9);Osmanthusjde B(10)。小林弘美等又从巴基斯坦卡拉奇产C.tubulosa 中分得新化合物[16]:TubulosideA (11);Tubuloside C (12);Tubuloside B(13);异类叶升麻苷(Acteoside isomer)(14);Tubuloside D(15)。日本唐沪ひろ子等从C.salsa 中分得新化合物[17]:肉苁蓉苷H(Cistanoside H)(16);肉苁蓉苷I(Cistanoside I)(17);Decaffeoylacteoside(18);肉苁蓉苷G (Cistanoside G)(19);红景天苷(Salidroside)(20)。Fumio Yoshizawa 等从C.tubulosa 中得到新化合物[18]:Tubuloside E(21);Syringalide
A3′-α-L-rhamnopyranoside (22);及Isosyringalide-3′-α-Lrhamnopyranoside(23)。国内学者对C.deserticola 研究较多堵年生等从中分得松果菊苷、肉苁蓉苷A、类叶升麻苷、2′-乙酰类叶升麻苷[19]。徐文豪等从中分得类叶升麻苷、2′-乙酰类叶升麻苷、松果菊苷、肉苁蓉苷A、B、C、H 等[20]。徐朝晖从中分得红景天苷[21]等。
2 环烯醚萜类
日本小林弘美等对我国内蒙古产肉苁蓉C.salsa 进行了系统研究[22-24]从中分得8-表马钱子酸(8-Epiloganic acid)(24);Mussaenoside acid(25);Leonuride(ajugol)(26);8-表去氧马钱子酸(8-Epideoxyloganic acid)(27);Gluroside(28);京尼平酸(Geniposidic acid) (29);Bartsioside (30);6-Deoxycatalpol(31);苁蓉素(Cistanin)(32);苁蓉氯素(Cistanchlorin)(33)等化合物。罗尚夙等从C.desterticola 中分得8-表马钱子酸葡萄糖苷[25]。徐文豪等从C.desterticola 中分得8-表马钱子苷酸[20]。


3 木质素类
小林弘美从C.salsa 中分得[14~17]:(+)-Syringaresinol o-β-D-glucopyranoside (34); Liriodendrin (35);松脂醇(Pinoresinol) (36) 粉末;(+)-Pinoresinol O-β-D-glucopyranoside(37)和松脂酸。从C.tubulosa 中分得新木质素[18]:Dehydrodiconiferylalcohol γ′-O-β-D-glucopyranoside(38)及Dehydrodiconiferylalcohol4′-O-β-D-glucopyranoside(39)。

4 挥发性成分
1988年堵年生、曲淑慧等从新疆产C.salsa 中用水蒸气蒸馏法提取精油然后用GC/MS/DS 手段分析了精油中的成分和相对含量共鉴定出38个化学成分[26]。马熙中等利用超临界流体萃取技术测定了C.deserticola 中挥发性组分中的三十多个化合物并将其分为三类:正构烷烃C16-C28酯类化合物中有三个主要成分是邻苯二甲酸二丁酯、癸二酸二丁酯和邻苯二甲酸二异辛酯含氧含氮化合物以丁子香酚为主其次为香草醛和异丁子香酚等[27]。
5 其它类
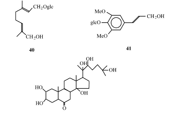
日本小林弘美从C.salsa 中分得[12]8-羟基牦牛儿醇-1-β-吡喃葡萄糖苷(8-Hydroxygeraniol1-β-D-glucopyranoside)C16H18O7·1/2H2O (40)无色结晶mp 58-60℃[α]2D3.5-35.8°;D-甘露醇(D-mannitol);β-谷甾醇(β-sitosterol);琥珀酸;β-谷甾醇-β-D-吡喃葡萄糖苷[17] 和丁香苷(Syringin)[20](41)C16H24O9无色针晶mp188-189℃[α]2D0-12.3°。从C.Tubulosa[18] 中分得20-Hydroxyecdysone(42)mp 240-241℃[α]2D5+70.0°;及6-去氧梓醇(6-Deoxycatalpol)。
罗尚夙等从C.deserticola 中分得甘露醇并测定其中氨基酸含量[25]。陈妙华等从C.destercola 中分得β-谷甾醇胡罗卜苷丁二酸咖啡糖酯三十烷醇和甜菜碱[28]。张淑运对炮制前后的C.deserticola 的甜菜碱的含量进行了对比分析[29]。屠鹏飞等从C.desterticola 鲜花序中分得6-去氧梓醇半乳糖醇[30]。徐文豪从C.desterticola 中分得葡萄糖蔗糖甜菜碱、琥珀酸甘露醇β-谷甾醇胡罗卜苷等[23]。薛德钧从C.tubulosa 中分得β-谷甾醇D-甘露醇D-葡萄糖D-果糖胡罗卜苷琥珀酸等[31]。又从产地不同的C.deserticola中分离出杂多糖并进行了定性定量分析发现产地不同的肉苁蓉中所含的单糖种类不尽相同多糖的含量不同且组成杂多糖的单糖成分也不同[32]。徐朝晖等从C.deserticola中分得10个化合物:苁蓉素、梓醇、丁香苷、红景天苷、25-二氧-4-咪唑烷-氨基甲酸、甘露醇、硬脂酸、β-谷甾醇、胡萝卜苷、甜菜碱[21]。陈晓东等人还分析了其中所含的Ca、Mg、Zn、Cu、Mo、Po 和P其中铁、铜、锌、锰的含量比一般中药高[33]。早年还报道从肉苁蓉中分得了肉苁蓉碱和肉苁蓉苷[34]。

参考文献:
[1] 江苏医学院.中药大辞典[M ].上海:上海人民出版社.1977895.
[2] 中华人民共和国药典一部[S].北京:化学工业出版社2000.103.
[3] 屠鹏飞何燕萍楼之岑.肉苁蓉类药调查与资源保护[J].中草药199425(4):205.
[4] 刘勇镇.草苁蓉对学习记忆和清除自由基作用[J].中草药199324(2):81.
[5] Tsuda.草苁蓉的自由基清除作用[J].国外医学中医中药分册.中草药199324(2):81.
[6] 堵年生刘峻岭.大孔吸附树脂---紫外分光光度法测定肉苁蓉中苯乙醇甙类含量[J].天然产物研究与开发.19935(3):30.
[7] 韩丽春侯金凤纪志华等.肉苁蓉对小鼠血清尿素氮和肝脏超微结构的影响[J].中国中药杂志199419(5):307.
[8] 薛德钧詹永成.肉苁蓉的研究进展[J].现代应用药学199613(5):12.
[9] Takashi SatoSaton KozikoKomiko Kobayashiet al.Pharmacologicalstudies on Cistanchis HerbaⅠ.Effects of the constituentsof Cistanchis Herba on sex and learning behavior inchronic stressed mice[J].药学杂志[日].1985105(12):1131.
[10] 张洪泉张爱香堵年生等.肉苁蓉对小白鼠免疫功能的影响[J].中西医结合杂志19988:736.
[11] 佐藤倜.他.肉苁蓉的药理学研究---肉苁蓉成分对慢性应激负荷小鼠的性行为及学习行为的影响[J].国外医学-中医中药分册.19879(16):33.
[12] Hiromi KobayashiHiroko KarasawaToshio Miyaseet al.Studies on the Constituents Cistanchis Herba.Ⅲ.Isolation andStructures of new Phenylpropanoid GlycosidesCistanosides Aand B[J].Chem Pharm Bull198432(10):3009-3014.
[13] Hiromi KobayashiHiroko KarasawaToshio Miyaseet al.Studies on the Constituents Cistanchis Herba.Ⅳ.Isolation andStructures of Two New Phenylpropanoid GlycosidesCistanosidesC and D[J].Chem Pharm Bull198432(10):3880-3885.
[14] Hiromi KobayashiHiroko KarasawaToshio Miyaseet al.Studies on the Constiuents Cistanchis Herba.Ⅴ.Isolation andStructures of Two New Phenylpropanoid GlycosidesCistanosideE and F[J].Chem Pharm Bull198533(4):1452-1457.
[15] Hiromi KobayashiHiroko OguchiNonuo Takizawaet al.New Phenylethanoid Glycosides from Cistanoside tubulosa(SCHRENK) Hook.f [ J ].Chem Pharm.Bull198735(8):3309-3314.
[16] 唐沪ひろ子小林弘美淹沪信夫等.Studies on the Constituentsof Cistanchis Herba.Ⅶ.Isolation and structure of CistanosideH and I[J].药学杂志(日)1986106(7):562-566.
[17] 唐沪ひろ子小林弘美淹沪信夫等.Studies on the Constituentsof Cistanchis Herba.Ⅶ.Isolation and structure of aNew Phenylethanoid GlycosideCistanoside G [J ].药学杂志(日)1986106(8):721-724.
[18] Fumio YoshizawaTakeshi DeyamaNobuo Takizawaet al.The Constiuents of Cistanoside tubulosa(SCHKENK)Hook.f.Ⅱ.Isolation and Structures of a New Phenylpropanoid Glycosides
and a new Neolignan Glycoside [ J ].Chem Pharm Bull199038(7):1927-1930.
[19] 堵年生王 泓易杨华.肉苁蓉中苯乙醇甙类成分的分离和鉴定.天然产物开发与研究19935(4):5.
[20] 徐文豪邱声祥赵继红.肉苁蓉化学成分的研究[J].中草药199425(10):509.
[21] 徐朝晖杨俊山吕瑞绵.肉苁蓉化学成分的研究[J].中草药199930(4):244.
[22] Hiromi Kobayashi and Tunko Komatsu.肉苁蓉の成分研究[J].药学杂志[日]1983103(5):508-511.
[23] Hiromi KobayashiHiroko KarasawaToshio Miyase et al.Studies on the Constituents of Cistanchis Herba.Ⅳ.Isolation andStructures of a New Iridoid Glycoside6-Deoxyeatalpol [ J ].Chem Pharm Bull198533(9):3645-3650.
[24] Hiromi KobayashiHiroko KarasawaToshio Miyase et al.Studies on the Constituents of Cistanchis Herba.Ⅱ.Isolation andStructures of New IridoidsCistanin and Cistachlorin[J].ChemPharm Bull198432(5):1729-1734.
[25] 罗上夙顾 莹刘永和.肉苁蓉化学成分的研究[J].中药通报198611(11):4.
[26] 堵年生曲淑惠热西丹等.肉苁蓉精油化学成分研究[J].有机化学杂志198827.
[27] 马熙中于小兵郑振华.分析型超临界流体萃取技术在测定中药肉苁蓉化学成分中的应用[J].高等学校化学学报199112(11):1443.
[28] 陈妙华刘凤山许建萍.补肾壮阳中药肉苁蓉的化学成分研究[J].中国中药杂志199318(7):424.
[29] 张淑运巢志茂陈妙华.肉苁蓉炮制前后甜菜碱的含量测定[J].中国中药杂志199520(7):409.
[30] 屠鹏飞何燕萍楼之岑.肉苁蓉鲜花序的化学成分研究[J].中草药199425(9):451.
[31] 薛德钧.管华肉苁蓉的化学成分研究[J].中国中药杂志199722(3):170.
[32] 薛德钧章明.三种肉苁蓉糖类成分分析[J].中药材199417(2):36.
[33] 陈晓东薛德钧等.肉苁蓉的微量元素分析[J].江西中医学院学报19946(4):31.
[34] 肖崇厚杨松松洪筱坤等.中药化学[M ].上海:上海科学技术出版社1987:343.
公司:win德赢官方
地址:新疆和田洛浦县杭桂路232号
公司网址:www.www.wagawa.com
厂家服务热线:0903-6682528
全国服务热线:400-966-8288